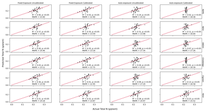
Radiometric accuracy of data is crucial in quantitative precision agriculture, to produce reliable and repeatable data for modeling and decision making. The effect of exposure time and gain settings on the radiometric accuracy of multispectral images was not explored enough. The goal of this study was to determine if having a fixed exposure (FE) time during image acquisition improved radiometric accuracy of images, compared to the default auto-exposure (AE) settings. This involved quantifying the errors from auto-exposure and determining ideal exposure values within which radiometric mean absolute percentage error (MAPE) were minimal (< 5%). The results showed that FE orthomosaic was closer to ground-truth (higher R2 and lower MAPE) than AE orthomosaic. An ideal exposure range was determined for capturing canopy and soil objects, without loss of information from under-exposure or saturation from over-exposure. A simulation of errors from AE showed that MAPE < 5% for the blue, green, red, and NIR bands and < 7% for the red edge band for exposure settings within the determined ideal ranges and increased exponentially beyond the ideal exposure upper limit. Further, prediction of total plant nitrogen uptake (g/plant) using vegetation indices (VIs) from two different growing seasons were closer to the ground truth (mostly, R2 > 0.40, and MAPE = 12 to 14%, p < 0.05) when FE was used, compared to the prediction from AE images (mostly, R2 < 0.13, MAPE = 15 to 18%, p >= 0.05).


翻译:暂无翻译

0
下载
关闭预览

相关内容

【ACL2020】多模态信息抽取,365页ppt
专知会员服务
150+阅读 · 2020年7月6日
Keras François Chollet 《Deep Learning with Python 》, 386页pdf
专知会员服务
161+阅读 · 2019年10月12日
【SIGGRAPH2019】TensorFlow 2.0深度学习计算机图形学应用
专知会员服务
41+阅读 · 2019年10月9日
RL解决'BipedalWalkerHardcore-v2' (SOTA)
CreateAMind
31+阅读 · 2019年7月17日
灾难性遗忘问题新视角:迁移-干扰平衡
CreateAMind
17+阅读 · 2019年7月6日
强化学习的Unsupervised Meta-Learning
CreateAMind
18+阅读 · 2019年1月7日
meta learning 17年:MAML SNAIL
CreateAMind
11+阅读 · 2019年1月2日
disentangled-representation-papers
CreateAMind
26+阅读 · 2018年9月12日
CVE-2018-7600 - Drupal 7.x 远程代码执行exp
黑客工具箱
14+阅读 · 2018年4月17日
国家自然科学基金
2+阅读 · 2015年12月31日
国家自然科学基金
0+阅读 · 2015年12月31日
国家自然科学基金
0+阅读 · 2015年12月31日
国家自然科学基金
2+阅读 · 2015年12月31日
国家自然科学基金
0+阅读 · 2015年12月31日
国家自然科学基金
3+阅读 · 2015年12月31日
国家自然科学基金
0+阅读 · 2014年12月31日
国家自然科学基金
0+阅读 · 2014年12月31日
国家自然科学基金
12+阅读 · 2014年12月31日
国家自然科学基金
6+阅读 · 2014年12月31日
A survey on deep hashing for image retrieval
Arxiv
15+阅读 · 2020年6月10日
VIP会员
相关VIP内容
【ACL2020】多模态信息抽取,365页ppt
专知会员服务
150+阅读 · 2020年7月6日
Keras François Chollet 《Deep Learning with Python 》, 386页pdf
专知会员服务
161+阅读 · 2019年10月12日
【SIGGRAPH2019】TensorFlow 2.0深度学习计算机图形学应用
专知会员服务
41+阅读 · 2019年10月9日
相关资讯
RL解决'BipedalWalkerHardcore-v2' (SOTA)
CreateAMind
31+阅读 · 2019年7月17日
灾难性遗忘问题新视角:迁移-干扰平衡
CreateAMind
17+阅读 · 2019年7月6日
强化学习的Unsupervised Meta-Learning
CreateAMind
18+阅读 · 2019年1月7日
meta learning 17年:MAML SNAIL
CreateAMind
11+阅读 · 2019年1月2日
disentangled-representation-papers
CreateAMind
26+阅读 · 2018年9月12日
CVE-2018-7600 - Drupal 7.x 远程代码执行exp
黑客工具箱
14+阅读 · 2018年4月17日
相关基金
国家自然科学基金
2+阅读 · 2015年12月31日
国家自然科学基金
0+阅读 · 2015年12月31日
国家自然科学基金
0+阅读 · 2015年12月31日
国家自然科学基金
2+阅读 · 2015年12月31日
国家自然科学基金
0+阅读 · 2015年12月31日
国家自然科学基金
3+阅读 · 2015年12月31日
国家自然科学基金
0+阅读 · 2014年12月31日
国家自然科学基金
0+阅读 · 2014年12月31日
国家自然科学基金
12+阅读 · 2014年12月31日
国家自然科学基金
6+阅读 · 2014年12月31日
Top
微信扫码咨询专知VIP会员