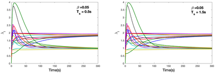
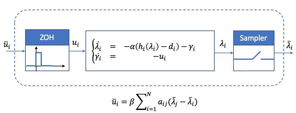
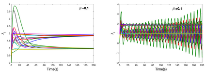
We propose a continuous-time algorithm for solving a resource allocation problem cooperatively and distributedly over a uniformly jointly strongly connected graph. Particularly, a novel passivity-based perspective of the proposed algorithmic dynamic at each individual node is provided, which enables us to analyze the convergence of the overall distributed algorithm over time-varying digraphs. The parameters in the proposed algorithm rely only on local information of each individual nodes, which can be designed in a truly distributed fashion. A periodic communication mechanism is also derived using the passivity degradation over sampling of the distributed dynamics in order to avoid the introduction of the restrictive assumption of continuous-time communication among nodes.


翻译:我们建议采用连续时间算法,通过一个统一、紧密相连的图表,以合作和分配的方式解决资源分配问题。 特别是,提供了对每个节点的拟议算法动态的新式被动观点,这使我们能够分析在时间变化的分数中总体分布算法的趋同情况。 拟议的算法参数仅依赖每个节点的当地信息,而这些信息可以真正分布。 定期通信机制还利用对分布式动态的抽样的被动性退化来生成,以避免引入节点之间连续通信的限制性假设。

0
下载
关闭预览

相关内容

专知会员服务
61+阅读 · 2020年3月19日
Stabilizing Transformers for Reinforcement Learning
专知会员服务
60+阅读 · 2019年10月17日
《DeepGCNs: Making GCNs Go as Deep as CNNs》
专知会员服务
31+阅读 · 2019年10月17日
Hierarchically Structured Meta-learning
CreateAMind
27+阅读 · 2019年5月22日
Transferring Knowledge across Learning Processes
CreateAMind
29+阅读 · 2019年5月18日
强化学习的Unsupervised Meta-Learning
CreateAMind
18+阅读 · 2019年1月7日
无监督元学习表示学习
CreateAMind
27+阅读 · 2019年1月4日
A Technical Overview of AI & ML in 2018 & Trends for 2019
待字闺中
18+阅读 · 2018年12月24日
Disentangled的假设的探讨
CreateAMind
9+阅读 · 2018年12月10日
disentangled-representation-papers
CreateAMind
26+阅读 · 2018年9月12日
【论文】变分推断(Variational inference)的总结
机器学习研究会
39+阅读 · 2017年11月16日
Adversarial Variational Bayes: Unifying VAE and GAN 代码
CreateAMind
7+阅读 · 2017年10月4日
Auto-Encoding GAN
CreateAMind
7+阅读 · 2017年8月4日
Arxiv
4+阅读 · 2018年1月15日
VIP会员
相关资讯
Hierarchically Structured Meta-learning
CreateAMind
27+阅读 · 2019年5月22日
Transferring Knowledge across Learning Processes
CreateAMind
29+阅读 · 2019年5月18日
强化学习的Unsupervised Meta-Learning
CreateAMind
18+阅读 · 2019年1月7日
无监督元学习表示学习
CreateAMind
27+阅读 · 2019年1月4日
A Technical Overview of AI & ML in 2018 & Trends for 2019
待字闺中
18+阅读 · 2018年12月24日
Disentangled的假设的探讨
CreateAMind
9+阅读 · 2018年12月10日
disentangled-representation-papers
CreateAMind
26+阅读 · 2018年9月12日
【论文】变分推断(Variational inference)的总结
机器学习研究会
39+阅读 · 2017年11月16日
Adversarial Variational Bayes: Unifying VAE and GAN 代码
CreateAMind
7+阅读 · 2017年10月4日
Auto-Encoding GAN
CreateAMind
7+阅读 · 2017年8月4日
Top
微信扫码咨询专知VIP会员