题目:Uncovering the Structural Fairness in Graph Contrastive Learning 会议:NeurIPS 2022

论文链接https://arxiv.org/abs/2210.03011

节点表示学习对结构公平性有所要求,即在度小和度大节点上都有良好的性能表现。最近研究表明,图卷积网络 (GCN) 常对度小节点的预测性能较差,在广泛存在的度呈长尾分布的图上表现出结构不公平。图对比学习 (GCL) 继承了 GCN 和对比学习的优势,甚至在许多任务上超越了半监督 GCN。那么 GCL 针对节点度的表现又如何呢?是否可能为缓解结构不公平提供新的思路?

1. 背景

最近研究表明[1],图神经网络(GCN)表现出结构不公平,即对度大节点(头节点)的预测性能较佳,而度小节点(尾节点)较差。由于实际场景中的节点度通常遵循长尾幂律分布,GCN 的这种结构不公平会导致一定的性能瓶颈。 图对比学习(GCL)取 GCN 和对比学习之长处,使节点表示学习不依赖监督信息的同时,在一些任务上的性能比肩甚至超越半监督 GCN。现有 GCL 方法一般对输入随机增广,并设置合适的正负例来对比优化 GCN 编码器。由此,不禁好奇: GCL 是否会继承 GCN 的结构不公平性? 我们通过实验探究,惊奇地发现 GCL 方法中度大和度小节点间的性能差距小于 GCN,展现出缓解结构不公平性的潜力。此时,一个关键的问题自然出现: 为什么 GCL 对度偏差更公平? 该问题的答案可以为缓解结构不公平性提供新的思路,并加深我们对 GCL 机制的理解。 直观地,图增广使尾节点有机会产生更多的社区内边,与同社区节点的表示更近,从而远离社区边界,易于分类。理论地,我们通过证明社区内集中定理和社区间分散定理揭示 GCL 所得节点表示呈现清晰的社区结构。这些定理与 GCL 的两个核心部分相关:正例的对齐,恰为 GCL 的优化目标;预定义的图增广策略,影响增广表示的集中程度。由此,我们我们建立了图增广与表示集中间的关系,并提出基于新的图增广策略的 GCL 模型(GRADE)来进一步提升结构公平性。具体地,GRADE 将尾节点和相似节点的自我中心网络插值,使尾节点邻域包含更多相同社区的节点;将头节点的自我中心网络提纯以减弱不同社区节点带来的噪音。在多种基准数据集和评估协议下的实验充分验证了 GRADE 的有效性。

2. GCL 结构公平性的实验探究

选取两个具有代表性的 GCL 模型 DGI[2]和 GraphCL[3],分析其结构公平性。具体地,我们将GCN、DGI 和 GraphCL 分别在 Cora、Citeseer、Photo 和 Computer 数据集上训练,并根据度将节点分组,计算这些组的平均准确率,如图所示。为进一步反映结构公平性,我们用线性回归拟合这些散点,斜率越小,该模型对度偏差越公平。Photo 和 Computer 数据集上的实验结果,参见论文。从图中可以看出,DGI 和 GraphCL 尾节点的平均准确率高于 GCN,且回归线的斜率也较小。这一有趣的现象说明,无监督的 GCL 方法比半监督的 GCN 更具有结构公平性。

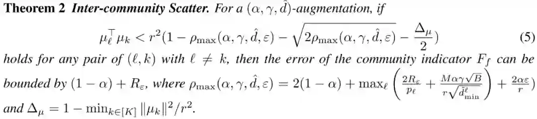
3. GCL 结构公平性的理论分析

图定义为 ,其中 是 个节点组成的节点集 , 是边集, 是节点特征矩阵, 代表节点 的特征。边集可以用邻接矩阵 表示,如果 ,则 。给定无标签的训练集,每个节点属于 个社区 之一。假设增广集 包含所有可能的拓扑增广策略,节点 的自我中心网络 可能产生的所有正例集为 。 GCL 的目标是学到合理的 GCN 编码器 使得正例对间相近,而负例对间相远。这里,我们聚焦于拓扑增广和单层 GCN, 其中 是转移矩阵 的第 行, 是加自环的邻接矩阵, 是度矩阵。我们使用社区指示器 其中 是社区中心, 代表 范数。社区指示器 的误差形式化为 基于以上定义,记正例对表示间距离不大于 的节点集为 。 假设非线性变换具有 -Lipschitz 连续性,即 ,拓扑增广均匀采样 条边 ,且存在半径 使任意增广都有 。可证:

该定理建立了表示的社区内集中程度与 中正例对对齐程度间的关系。具体地,社区内集中需要较小的 。对比学习优化框架正是缩小正例对间的距离,因而 GCL 满足要求。 接下来,我们证明 GCL 还具有社区间分散的特性。对于增广集 ,将两节点间的增广距离定义为其变换前表示的最小距离, 其中 是增广后的邻接矩阵 的第 行, 为增广后的度。基于增广距离,我们引入 -augmentation 的定义用于衡量变换前表示的集中程度。

越大的 和越小的 说明变换前表示越集中。假设表示被归一化 ,且 。我们同时约束社区间距离和社区指示器误差:

为更准确地分配社区,不等式右边应接近 ,因而需要 较小。我们进一步通过对比框架中的正例对对齐损失约束 :

所有定理证明参见原文。综上,社区间距离和社区指示器的误差由两个因素主导:1)正例对的对齐,较好的对齐可使 较小,从而 较小;2)增广表示的集中程度,更集中则 更大。小的 和大的 会直接减小社区指示器的误差,并为社区间分散提供小的 。需要强调的是,第一个因素是 GCL 的对比目标,反映 GCL 结构公平的原因。而第二个因素取决于图增广策略的设计。在此驱动下,我们提出可以进一步集中增广表示的图增广方式。

4. GRADE

图增广

我们通过同时扰动原始特征和拓扑生成两个增广 和 ,并将两增广所得节点表示记为 和。 为获得更集中的增广表示,需要增加社区内边,减少社区间边。由于尾节点和头节点的结构属性不同,我们分别设计了不同的拓扑增广策略,如图所示。为扩展尾节点邻域以包含更多相同社区的节点,我们将锚尾节点 与采样所得相似节点 的自我中心网络插值。为防止增广过程注入许多不同社区节点,进一步依据 和 间的相似性调整插值比率。对于头节点,我们则利用相似性采样来提纯其邻域,尽量移除社区间边。

形式化地,我们基于节点表示间的余弦相似度构建相似度矩阵 ,对 有 ,否则 。对于任意尾节点 ,自多峰分布 中采样出节点 ,其中 是 中对应于节点 的行向量。然后,将 和 的邻居分布插值,为尾节点 创建新的相似度感知邻域。这里,节点 的邻居分布定义为 ,如果 ,否则 。为减少不同社区节点带来的噪音,相似度 用作插值比率 , 然后,从邻居分布 中进行不替换采样。对任意头节点 ,定义用于提纯的相似性分布。具体地,如果 ,则节点 的相似性分布为 ,否则 。基于相似性分布 ,不替换地采样出 个邻居,其中 是边丢弃率。通过这种相似性采样,不同社区间的边往往会被移除,从而保留有效的邻域信息。 至于特征增广,我们随机产生掩码向量 来隐去节点特征中的部分维度。掩码 中的每个元素都是从贝努利分布 中采样所得,其中超参数 是特征丢弃率。因此,增广后的特征 为 在实现时,设置阈值 区分尾节点和头节点。增广 和 应用相同的超参数 和 。

优化目标

对节点 ,不同图增广得到的节点表示 和 构成正例对,而其他节点的表示被视为负例。因此,每个正例对 的目标函数定义为 其中 是温度系数, 是 , 是多层感知器(MLP),用于增强表达能力[4]。因此,总体目标函数是最大化所有正例对的平均值

5. 实验

我们将 GRADE 与最具代表性的 GCL 模型 DGI、GraphCL、GRACE、MVGRL 和 CCA-SSG 进行比较,并同时评估半监督 GCN 以供参考。对于 GCL 模型,每个模型以无监督方式进行训练后,所得节点表示喂入逻辑回归分类器,并采用常见的两种划分方式进行评估:1)半监督划分,每类 20 个标记节点用于训练,1000 个节点用于测试;2)监督划分,1000 个节点用于测试,其余节点用于训练。GCN 同样遵循上述划分进行训练。

节点分类

10次独立实验的平均值和标准差如上表所示。在大多数情况下,GRADE 优于所有基线方法。GRADE 在 Cora 和 Citeser 数据集上的提升更显著,因为这两个数据集的平均节点度约为 3,存在大量尾节点。为验证 GRADE 在提高尾节点分类性能的同时保留了头节点的性能,我们根据阈值 将 Cora 的测试节点分为尾节点和头节点,并在小提琴图中绘制其平均准确率。正如预期,无论尾节点还是头节点,GRADE 都有较明显的性能提升。

公平性分析

为定量分析结构公平性,定义组平均为所有以度分组的平均准确度的平均值,而偏差定义为方差。

基于这些指标,评估结果如下表所示。可以看出,GRADE 降低了所有数据集的偏差,并保持最高的组平均。

可视化

为证明 GRADE 使社区更集中,我们可视化了 Cora 数据集上 GRADE 和基线的节点表示。以蓝色社区为例,图对比学习基线虽比 GCN 有更清晰的社区边界,但蓝色节点仍很分散。在 GRADE 中,它们聚集在一起,说明增广策略发挥了重要作用。 更多实验,请参考原文。

参考文献

[1] Jian Kang, Yan Zhu, Yinglong Xia, Jiebo Luo, and Hanghang Tong Rawlsgcn: Towards rawlsian difference principle on graph convolutional network. In WWW, 2022. [2] Petar Velickovic, William Fedus, William L Hamilton, Pietro Liò, Yoshua Bengio, and R Devon Hjelm. Deep graph infomax. In ICLR, 2019. [3] Yuning You, Tianlong Chen, Yongduo Sui, Ting Chen, Zhangyang Wang, and Yang Shen. Graph contrastive learning with augmentations. In NeurIPS, 2020. [4] Ting Chen, Simon Kornblith, Mohammad Norouzi, and Geoffrey E. Hinton. A simple framework for contrastive learning of visual representations. In ICML, 2020. 本期责任编辑:王啸本期编辑:刘佳玮


北邮 GAMMA Lab 公众号

主编:石川责任编辑:王啸、杨成编辑:刘佳玮

长按下图并点击“识别图中二维码” 即可关注**北邮 GAMMA Lab **公众号

成为VIP会员查看完整内容
14

相关内容

【NeurIPS2022】基于最大熵编码的自监督学习
专知会员服务
27+阅读 · 2022年10月23日
【NeurIPS2022】基于结构聚类的自监督异构图预训练
专知会员服务
24+阅读 · 2022年10月20日
【NeurIPS2022】图谱视角下的图对比学习
专知会员服务
26+阅读 · 2022年10月9日
NeurIPS2022|基于解耦因果子结构学习的去偏差图神经网络
【NeurIPS2021】任务导向的无监督域自适应
专知会员服务
17+阅读 · 2021年11月20日
【NeurIPS2021】InfoGCL:信息感知图对比学习
专知会员服务
37+阅读 · 2021年11月1日
专知会员服务
14+阅读 · 2021年10月13日
专知会员服务
38+阅读 · 2021年5月28日
【NeurIPS2020 】 数据扩充的图对比学习
专知会员服务
49+阅读 · 2020年11月9日
注意力图神经网络的多标签文本分类
专知会员服务
112+阅读 · 2020年3月28日
【NeurIPS2022】具有自适应读出的图神经网络
NeurIPS 2022 | 基于精确差异学习的图自监督学习
PaperWeekly
0+阅读 · 2022年10月22日
NeurIPS 2022|图对比学习的结构公平性初探
PaperWeekly
0+阅读 · 2022年10月17日
【NeurIPS2022】图谱视角下的图对比学习
专知
3+阅读 · 2022年10月9日
IJCAI'22 | 自对齐图对比学习
图与推荐
2+阅读 · 2022年6月22日
【NeurIPS2021】InfoGCL:信息感知图对比学习
图与推荐
1+阅读 · 2021年11月3日
图神经网络+对比学习,下一步去哪?
图与推荐
1+阅读 · 2021年10月29日
国家自然科学基金
0+阅读 · 2014年12月31日
国家自然科学基金
0+阅读 · 2013年12月31日
国家自然科学基金
2+阅读 · 2013年12月31日
国家自然科学基金
0+阅读 · 2013年12月31日
国家自然科学基金
0+阅读 · 2012年12月31日
国家自然科学基金
0+阅读 · 2012年12月31日
国家自然科学基金
0+阅读 · 2012年12月31日
国家自然科学基金
0+阅读 · 2012年12月31日
国家自然科学基金
0+阅读 · 2011年12月31日
国家自然科学基金
2+阅读 · 2011年12月31日
已删除
Arxiv
32+阅读 · 2020年3月23日
Deep Graph Infomax
Arxiv
17+阅读 · 2018年12月21日
Arxiv
10+阅读 · 2017年12月29日
Arxiv
24+阅读 · 2017年3月9日
VIP会员
相关VIP内容
【NeurIPS2022】基于最大熵编码的自监督学习
专知会员服务
27+阅读 · 2022年10月23日
【NeurIPS2022】基于结构聚类的自监督异构图预训练
专知会员服务
24+阅读 · 2022年10月20日
【NeurIPS2022】图谱视角下的图对比学习
专知会员服务
26+阅读 · 2022年10月9日
NeurIPS2022|基于解耦因果子结构学习的去偏差图神经网络
【NeurIPS2021】任务导向的无监督域自适应
专知会员服务
17+阅读 · 2021年11月20日
【NeurIPS2021】InfoGCL:信息感知图对比学习
专知会员服务
37+阅读 · 2021年11月1日
专知会员服务
14+阅读 · 2021年10月13日
专知会员服务
38+阅读 · 2021年5月28日
【NeurIPS2020 】 数据扩充的图对比学习
专知会员服务
49+阅读 · 2020年11月9日
注意力图神经网络的多标签文本分类
专知会员服务
112+阅读 · 2020年3月28日
相关资讯
【NeurIPS2022】具有自适应读出的图神经网络
NeurIPS 2022 | 基于精确差异学习的图自监督学习
PaperWeekly
0+阅读 · 2022年10月22日
NeurIPS 2022|图对比学习的结构公平性初探
PaperWeekly
0+阅读 · 2022年10月17日
【NeurIPS2022】图谱视角下的图对比学习
专知
3+阅读 · 2022年10月9日
IJCAI'22 | 自对齐图对比学习
图与推荐
2+阅读 · 2022年6月22日
【NeurIPS2021】InfoGCL:信息感知图对比学习
图与推荐
1+阅读 · 2021年11月3日
图神经网络+对比学习,下一步去哪?
图与推荐
1+阅读 · 2021年10月29日
相关基金
国家自然科学基金
0+阅读 · 2014年12月31日
国家自然科学基金
0+阅读 · 2013年12月31日
国家自然科学基金
2+阅读 · 2013年12月31日
国家自然科学基金
0+阅读 · 2013年12月31日
国家自然科学基金
0+阅读 · 2012年12月31日
国家自然科学基金
0+阅读 · 2012年12月31日
国家自然科学基金
0+阅读 · 2012年12月31日
国家自然科学基金
0+阅读 · 2012年12月31日
国家自然科学基金
0+阅读 · 2011年12月31日
国家自然科学基金
2+阅读 · 2011年12月31日
相关论文
已删除
Arxiv
32+阅读 · 2020年3月23日
Deep Graph Infomax
Arxiv
17+阅读 · 2018年12月21日
Arxiv
10+阅读 · 2017年12月29日
Arxiv
24+阅读 · 2017年3月9日
微信扫码咨询专知VIP会员